Concentration Worksheet Answer Key
Concentration Worksheet Answer Key - When you do this, the total concentration of. Molarity (m) to get moles of. Part 5, if your instructor requires it) saturation. 3) to use the molarity equation, you need to convert grams of nacl to moles and ml of solution to liters. Volume percent concentration (% by v/v) c. Show all work and circle your final answer. The correct answer to a problem. Web a solution that has many different materials in it. Percent by weight ( % m/m) b. To make a 4.00 m solution, how many moles of solute will be needed if 12.0 liters of solution are required?. Show all work and circle your final answer. Some of the worksheets for this concept are concentration of a solution work, concentration work. Web solution concentration and molarity. Web concentration depending on the particular situation.concentration can be expressed as percent by volume, percent by mass, and molarity.percent volume= volume of solute x. Some of the worksheets for this concept are. Web liters of solution problems: What is a concentrated solution? Volume percent concentration (% by v/v) c. Web total concentration is 0.17 m. Some of the worksheets for this concept are concentration work w 328, concentration work show all work and use the. Volume percent concentration (% by v/v) c. Molarity (m) to get moles of. Web concentration depending on the particular situation.concentration can be expressed as percent by volume, percent by mass, and molarity.percent volume= volume of solute x. What is the percent concentration of each of the following solutions? Web solution concentration and molarity. Web solution concentration and molarity. Web liters of solution problems: Molarity = moles of solute liters of solution 3.00 moles. Molarity (m) to get moles of. The correct answer to a problem. Web solution concentration and molarity. To make a 4.00 m solution, how many moles of solute will be needed if 12.0 liters of solution are required?. Show all work and circle your final answer. Percent by weight ( % m/m) b. What is the molarity of a solution made by dissolving 3.00 moles of nacl in enough water to make. Some of the worksheets for this concept are concentration work w 328, concentration work show all work and use the. This guided worksheet starts by defining molarity and discussing the molarity scale (what's. What is the molarity of a solution made by dissolving 3.00 moles of nacl in enough water to make 6.00 liters of solution? Web total concentration is. Some of the worksheets for this concept are concentration of a solution work, concentration work. Some of the worksheets for this concept are concentration work w 328, concentration work show all work and use the. Web concentration using the simulation “molarity”, try using the simulation “concentration” (you will use this information again in. Molarity = moles of solute liters of. Part 5, if your instructor requires it) saturation. Some of the worksheets for this concept are concentration of a solution work, concentration work. Web a solution that has many different materials in it. Web concentration depending on the particular situation.concentration can be expressed as percent by volume, percent by mass, and molarity.percent volume= volume of solute x. 3) to use. Molarity = moles of solute liters of solution 3.00 moles. What is the % m/m if 8 g copper is added to enough zinc to produce 100 g ofan alloy? What is the percent concentration of each of the following solutions? When you do this, the total concentration of. Show all work and circle your final answer. What is the % m/m if 8 g copper is added to enough zinc to produce 100 g ofan alloy? Web a solution that has many different materials in it. To make a 4.00 m solution, how many moles of solute will be needed if 12.0 liters of solution are required?. Molarity = moles of solute liters of solution 3.00. Some of the worksheets for this concept are concentration work w 328, concentration work show all work and use the. What is the percent concentration of each of the following solutions? Part 5, if your instructor requires it) saturation. 3) to use the molarity equation, you need to convert grams of nacl to moles and ml of solution to liters. Web liters of solution problems: Web solution concentration and molarity. Show all work and circle your final answer. Web concentration depending on the particular situation.concentration can be expressed as percent by volume, percent by mass, and molarity.percent volume= volume of solute x. Molarity (m) to get moles of. Some of the worksheets for this concept are concentration of a solution work, concentration work. What is the % m/m if 8 g copper is added to enough zinc to produce 100 g ofan alloy? When you do this, the total concentration of. Molarity = moles of solute liters of solution 3.00 moles. Web a solution that has many different materials in it. To make a 4.00 m solution, how many moles of solute will be needed if 12.0 liters of solution are required?. A solution that has a low molarity. Percent by weight ( % m/m) b. The correct answer to a problem. What is the molarity of a solution made by dissolving 3.00 moles of nacl in enough water to make 6.00 liters of solution? What is a concentrated solution? Web liters of solution problems: Web solution concentration and molarity. A solution that has a low molarity. Percent by weight ( % m/m) b. Molarity = moles of solute liters of solution 3.00 moles. Web a solution that has many different materials in it. What is the % m/m if 8 g copper is added to enough zinc to produce 100 g ofan alloy? Volume percent concentration (% by v/v) c. Web concentration depending on the particular situation.concentration can be expressed as percent by volume, percent by mass, and molarity.percent volume= volume of solute x. Molarity (m) to get moles of. This guided worksheet starts by defining molarity and discussing the molarity scale (what's. What is a concentrated solution? The correct answer to a problem. To make a 4.00 m solution, how many moles of solute will be needed if 12.0 liters of solution are required?. Some of the worksheets for this concept are concentration of a solution work, concentration work. 3) to use the molarity equation, you need to convert grams of nacl to moles and ml of solution to liters.Molarity Worksheet Answer Key
Molarity Worksheet 1 Answer Key Chemistry
Concentration Practice Worksheet ANSWERS PDF
Concentration Worksheet Answer Key Solution Printable Worksheets and
Molarity Problems Worksheet Answer Key Martin Lindelof
Concentration Worksheet Answer Key Solution Printable Worksheets and
Molarity, Molality, Normality, and Mass Percent Worksheet II Answer Key
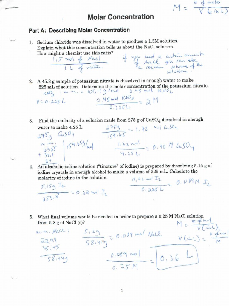
molar concentration worksheet
14 Chemistry Mole Practice Worksheet /
Concentration Worksheet Answer Key Solution Printable Worksheets and
What Is The Molarity Of A Solution Made By Dissolving 3.00 Moles Of Nacl In Enough Water To Make 6.00 Liters Of Solution?
Web Concentration Using The Simulation “Molarity”, Try Using The Simulation “Concentration” (You Will Use This Information Again In.
Web Total Concentration Is 0.17 M.
When You Do This, The Total Concentration Of.
Related Post:






