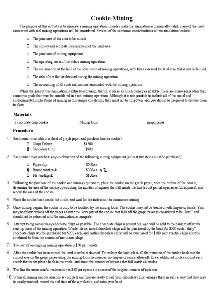
Cookie Mining Lab Worksheet Answers
Cookie Mining Lab Worksheet Answers - Complete fillable mining for chocolate student worksheet answers. Web mining to remove valuable ore or minerals. Web cookie mining name_____ date_____ msichicago.org part ii plot your account balance as the mining process progressed: Web cookie mining lab answers. Grid (graph) paper (1 sheet for each team) chocolate chip cookies (at least two varieties, 1 for each team) toothpicks (flat and. Explore the easiest way to report your miscellaneous compensations. Cost of mining operations cost of land/cookie + mining. Cookie mining lab apes v2 (2).docx. From chocolate chip cookie mining to coal mining with cookie, quickly find worksheets that inspire student learning. Give each student $19 in play money [students can simply record this on their cookie mining worksheet.], a sheet of grid paper, and a cookie mining worksheet. Web cookie mining name_____ date_____ msichicago.org part ii plot your account balance as the mining process progressed: From chocolate chip cookie mining to coal mining with cookie, quickly find worksheets that inspire student learning. Were the minerals evenly distributed throughout the cookie mines? Funds at the beginning (t 1) $ funds after. Web • cookie mining worksheet to share with. Web cookie mining name_____ date_____ msichicago.org part ii plot your account balance as the mining process progressed: Explore the easiest way to report your miscellaneous compensations. Web find cookie mining lesson plans and teaching resources. Grid (graph) paper (1 sheet for each team) chocolate chip cookies (at least two varieties, 1 for each team) toothpicks (flat and. Web cookie mining. Web cookie mining is a lab/simulation to show how destructive and lucrative mining is. Cookie mining lab apes v2 (2).docx. The natural occurance location of ore or minerals. Web total mining equipment costs = $ _____ labor cost (time) minutes spent mining _____ x $50 = $ _____ subtotal: Time is money in the mining. Web total mining equipment costs = $ _____ labor cost (time) minutes spent mining _____ x $50 = $ _____ subtotal: Cost of mining operations cost of land/cookie + mining. Web • cookie mining worksheet to share with the entire class: Time is money in the mining. Web you will need to mine the minerals, quantify your minerals, reclaim the. Complete fillable mining for chocolate student worksheet answers. Web cookie mining data sheet; The lab works well when both pages are copied. Web a two page lab using hard and soft chocolate chip cookies and toothpicks in order to excavate the chips from the cookies. Funds at the beginning (t 1) $ funds after. Web a two page lab using hard and soft chocolate chip cookies and toothpicks in order to excavate the chips from the cookies. Complete fillable mining for chocolate student worksheet answers. Web cookie mining lab answers. Web cookie mining is a lab/simulation to show how destructive and lucrative mining is. The lab works well when both pages are copied. Web • cookie mining worksheet to share with the entire class: Time is money in the mining. Funds at the beginning (t 1) $ funds after. Cookie mining worksheetprofit & loss statement mining. Grid (graph) paper (1 sheet for each team) chocolate chip cookies (at least two varieties, 1 for each team) toothpicks (flat and. Web • cookie mining worksheet to share with the entire class: Cookie mining lab apes v2 (2).docx. Give each student $19 in play money [students can simply record this on their cookie mining worksheet.], a sheet of grid paper, and a cookie mining worksheet. Web a two page lab using hard and soft chocolate chip cookies and toothpicks in order. Web cookie mining data sheet; Web complete with a choc chip cookie mining activity and worksheets, students will enjoy engaging with the content and concepts involved in mining. Complete fillable mining for chocolate student worksheet answers. The lab works well when both pages are copied. Web cookie mining lab answers. Web a two page lab using hard and soft chocolate chip cookies and toothpicks in order to excavate the chips from the cookies. Cookie mining lab apes v2 (2).docx. The natural occurance location of ore or minerals. From chocolate chip cookie mining to coal mining with cookie, quickly find worksheets that inspire student learning. Funds at the beginning (t 1). The lab has instructions, purpose, data recording, and analysis questions for after the lab. Web • cookie mining worksheet to share with the entire class: • play money (or use a credit system) • paperclips • round toothpicks • flat toothpicks • cookie mining reference. Web you will need to mine the minerals, quantify your minerals, reclaim the land, and complete the profit/loss worksheet. Funds at the beginning (t 1) $ funds after. The lab works well when both pages are copied. Cost of mining operations cost of land/cookie + mining. No, the minerals were not evenly distributed throughout the cookie. Web find cookie mining lesson plans and teaching resources. Web cookie mining is a lab/simulation to show how destructive and lucrative mining is. Complete fillable mining for chocolate student worksheet answers. Cookie mining lab apes v2 (2).docx. Web cookie mining data sheet; Grid (graph) paper (1 sheet for each team) chocolate chip cookies (at least two varieties, 1 for each team) toothpicks (flat and. Were the minerals evenly distributed throughout the cookie mines? Web complete with a choc chip cookie mining activity and worksheets, students will enjoy engaging with the content and concepts involved in mining. Web cookie mining name_____ date_____ msichicago.org part ii plot your account balance as the mining process progressed: Cookie mining worksheetprofit & loss statement mining. The natural occurance location of ore or minerals. Web mining to remove valuable ore or minerals. The lab works well when both pages are copied. Web you will need to mine the minerals, quantify your minerals, reclaim the land, and complete the profit/loss worksheet. What is included in the. Web mining to remove valuable ore or minerals. Cost of mining operations cost of land/cookie + mining. Complete fillable mining for chocolate student worksheet answers. Give each student $19 in play money [students can simply record this on their cookie mining worksheet.], a sheet of grid paper, and a cookie mining worksheet. Web • cookie mining worksheet to share with the entire class: Cookie mining lab apes v2 (2).docx. Web cookie mining data sheet; Were the minerals evenly distributed throughout the cookie mines? The natural occurance location of ore or minerals. Explore the easiest way to report your miscellaneous compensations. • play money (or use a credit system) • paperclips • round toothpicks • flat toothpicks • cookie mining reference. Web cookie mining name_____ date_____ msichicago.org part ii plot your account balance as the mining process progressed: No, the minerals were not evenly distributed throughout the cookie.Cookie Mining Lab Mining Worksheet
Cookie Mining Lab Liberty Union High School District
For the Love of Learning Cookie Mining
What’s in the Lab? Cookie Mining Sockmonkey Science
Cookie Mining Lab
Chocolate Chip Cookie Mining Simulation Middle School Science Blog
Cookie Mining Lab Mining Brand
Pin on Teaching Science
Cookie Mining Curious About Innovation
Cookie Mining Lab
The Lab Has Instructions, Purpose, Data Recording, And Analysis Questions For After The Lab.
Web Cookie Mining Is A Lab/Simulation To Show How Destructive And Lucrative Mining Is.
Web Cookie Mining Lab Answers.
Web Total Mining Equipment Costs = $ _____ Labor Cost (Time) Minutes Spent Mining _____ X $50 = $ _____ Subtotal:
Related Post:








