Geometry Worksheet 1.3 Distance And Midpoints
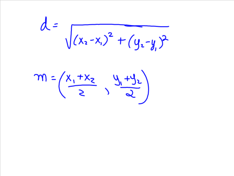
Geometry Worksheet 1.3 Distance And Midpoints - Web geometry notes:1.3 midpoint and distance formula. Web geometry 1.3 midpoint and distance formula. Midpoint formula on a coordinate plane. Web [download] geometry worksheet 1.3 distance and midpoints answers chapter 1 20 glencoe geometry skills practice distance and midpoints use the number. Midpoint formula on a number line. Is the point halfway between the endpoints of the segment. Check for understanding distance formula to find its length. (2, 0) and (8, 6) 11. Web distance formula using a number line. Web distance and midpoints distance between two points example 1: Web livingston public schools / lps homepage 2) find the coordinates of the midpoint of segment ab. The length of a segment between two points. Web lesson and some worked homework problems from geometry section 1.3 distance and midpoints. Midpoint formula on a number line. Midpoint formula on a coordinate plane. Web up to $3 cash back • find the distance between two points. Web geometry 1.3 midpoint and distance formula. Web [download] geometry worksheet 1.3 distance and midpoints answers chapter 1 20 glencoe geometry skills practice distance and midpoints use the number. Web the geometry worksheet 1.3 distance and midpoints is a common assignment. Web geometry 1.3 midpoint and distance formula. If mc =7x, am = 2x+8, and ac =3x+6, find the measure of. Click the card to flip 👆. Midpoint formula on a coordinate plane. Web geometry notes:1.3 midpoint and distance formula. If mc =7x, am = 2x+8, and ac =3x+6, find the measure of. Is the point halfway between the endpoints of the segment. The length of a segment between two points. Web geometry 1.3 midpoint and distance formula. It covers the concepts of distance and. Geometry worksheet 1.3 distance and midpoints use the number line to calculate each item: Web [download] geometry worksheet 1.3 distance and midpoints answers chapter 1 20 glencoe geometry skills practice distance and midpoints use the number line to find. Web distance and midpoints distance between two points example 1: Web geometry worksheet 1.3 distance and midpoints 08/30/18 point a is. Web the geometry worksheet 1.3 distance and midpoints is a common assignment given to students learning geometry. (a+b)/2, where a and b are numbers for whom you want to find the median] here's how it. Web use the distance formula to find the distance between each pair of points: Geometry worksheet 1.3 distance and midpoints use the number line to. Web the geometry worksheet 1.3 distance and midpoints is a common assignment given to students learning geometry. Use the number line to find ab. Web lesson and some worked homework problems from geometry section 1.3 distance and midpoints. Web distance formula using a number line. Web [download] geometry worksheet 1.3 distance and midpoints answers chapter 1 20 glencoe geometry skills. Web distance and midpoints distance between two points example 1: Web distance formula using a number line. Center (middle) of a segment. It covers the concepts of distance and. Check for understanding distance formula to find its length. Is the distance between two points is the length of the segment with those points as it's endpoints. (2, 0) and (8, 6) 11. Click the card to flip 👆. Center (middle) of a segment. Web [download] geometry worksheet 1.3 distance and midpoints answers chapter 1 20 glencoe geometry skills practice distance and midpoints use the number line to find. If mc =7x, am = 2x+8, and ac =3x+6, find the measure of. Divides segment/lines into 2 equal parts. Distance formula on a coordinate plane. Web geometry worksheet 1.3 name _____________distance and midpoints per __ date ________ use the number line to calculate each item: Geometry worksheet 1.3 distance and midpoints use the number line to calculate each item: Midpoint formula on a coordinate plane. Web lesson and some worked homework problems from geometry section 1.3 distance and midpoints. Web geometry worksheet 1.3 distance and midpoints use the number line to calculate each item: Distance formula on a coordinate plane. Web use the distance formula to find the distance between each pair of points: Use the number line to find ab. Web [download] geometry worksheet 1.3 distance and midpoints answers chapter 1 20 glencoe geometry skills practice distance and midpoints use the number line to find. Web distance and midpoints distance between two points example 1: Web up to $3 cash back • find the distance between two points. Divides segment/lines into 2 equal parts. (2, 0) and (8, 6) 11. Geometry worksheet 1.3 distance and midpoints use the number line to calculate each item: Web geometry worksheet 1.3 distance and midpoints 08/30/18 point a is between points m and c. Web geometry worksheet 1.3 distance and midpoints answers. Is the point halfway between the endpoints of the segment. Midpoint of overline ab= _ 6. Check for understanding distance formula to find its length. Web geometry worksheet 1.3 name _____________distance and midpoints per __ date ________ use the number line to calculate each item: Click the card to flip 👆. Web distance formula using a number line. Is the distance between two points is the length of the segment with those points as it's endpoints. Web lesson and some worked homework problems from geometry section 1.3 distance and midpoints. Web [download] geometry worksheet 1.3 distance and midpoints answers chapter 1 20 glencoe geometry skills practice distance and midpoints use the number line to find. • find the midpoint of a segment. Web distance formula using a number line. Distance formula on a coordinate plane. Geometry worksheet 1.3 distance and midpoints use the number line to calculate each item: Web geometry 1.3 midpoint and distance formula. Divides segment/lines into 2 equal parts. Click the card to flip 👆. Web geometry worksheet 1.3 distance and midpoints use the number line to calculate each item: Click the card to flip 👆. Web geometry worksheet 1.3 name _____________distance and midpoints per __ date ________ use the number line to calculate each item: Center (middle) of a segment. Web geometry worksheet 1.3 distance and midpoints answers. Web the formula for finding out the median is the sum of those two numbers divided by two.Geometry Distance And Midpoint Worksheet Answers —
30++ Geometry Distance And Midpoint Worksheet Answers
1.3 Midpoint Formula and Distance Formula Ms. Zeilstra's Math Classes
Geometry Worksheet 1.3 Distance And Midpoints Answers Islero Guide
Geometry Worksheet 1.3 Distance And Midpoints
Geometry Worksheet 1.3 Distance And Midpoints
Geometry Worksheet 1.3 Distance And Midpoints
Geometry Worksheet 1.3 Distance And Midpoints Answer Key Kidsworksheetfun
Geometry Worksheet 1.3 Distance And Midpoints Answers Islero Guide
Geometry Worksheet 1.3 Distance And Midpoints Answers GustavoGargiulo
Web Geometry Notes:1.3 Midpoint And Distance Formula.
If Mc =7X, Am = 2X+8, And Ac =3X+6, Find The Measure Of.
(2, 0) And (8, 6) 11.
Is The Point Halfway Between The Endpoints Of The Segment.
Related Post:










