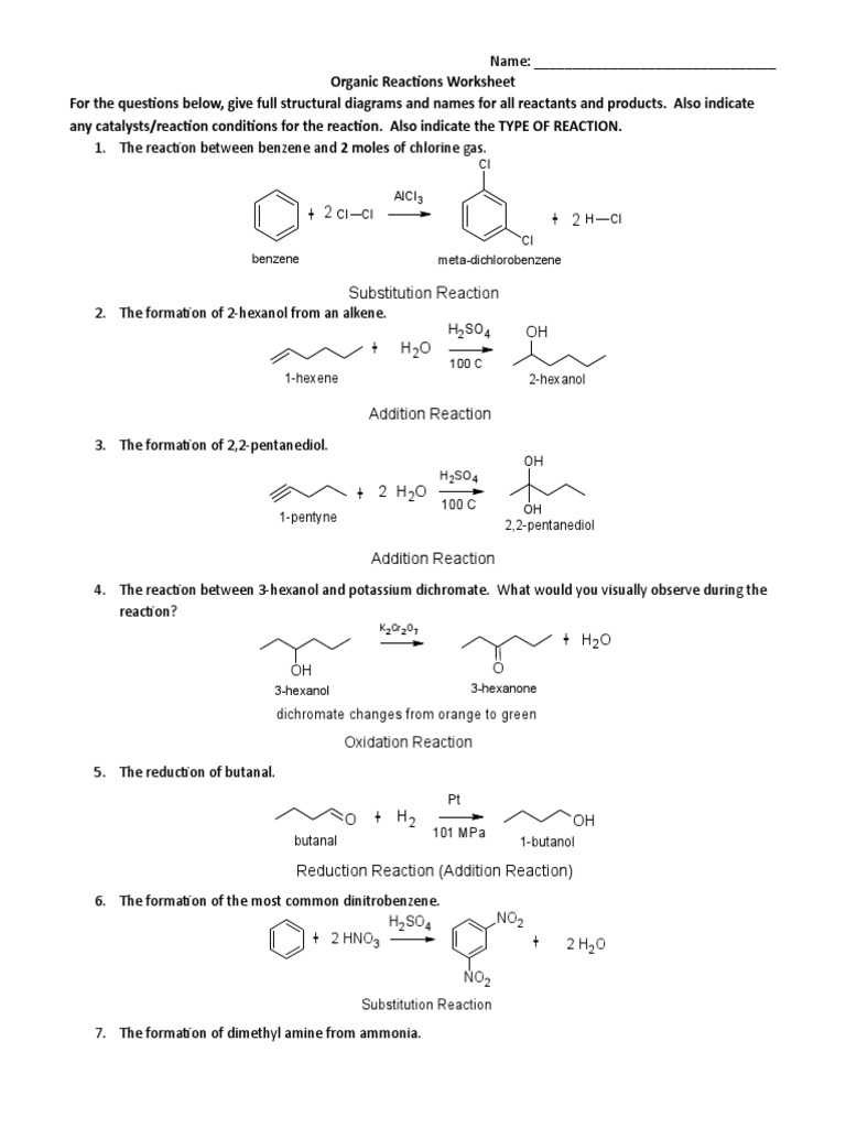
Organic Reactions Worksheet
Organic Reactions Worksheet - Recognise and use significant figures as appropriate. Bromine and ethene react to form an alkyl halide. Web worksheet 1 worksheet 1 alkanes question 1. The worksheet will explain the compounds that are reacting, and the products that form. Good set of worksheets covering the beginning of organic chemistry for year 12. The worksheets include calculation questions to practice mathematical skills within a genuine chemical context. Chloromethane is produced by reacting methane and chlorine. It includes oxidation reactions, reduction reactions, condensation reactions, hydrolysis reactions and alcohol reactions. Web what is an organic reactions worksheet? Organic add to my workbooks (2) embed in my website or blog add to google classroom add to microsoft teams share through whatsapp link to this worksheet: Be sure to complete the example reaction as well as fill in all other blanks. Organic add to my workbooks (1) download file pdf embed in my website or blog add to google classroom add to microsoft teams share through whatsapp link to this worksheet: It includes oxidation reactions, reduction reactions, condensation reactions, hydrolysis reactions and alcohol reactions. —l heat. 1) o hcl ch3oh 2) hcl ch3 3) hcl 4) hcl 5) hbr 6) hcl 7) ch3 h3o + 8) h3o + 9) h3o + 10) hg(oac)2, h2o nabh4 ch3 11) hg(oac)2, h2o nabh4 Be sure to complete the example reaction as well as fill in all other blanks. Ch 3 ch 3 + br 2 δ or hv Provide. Web organic reactions worksheets and online activities. Knowledge check worksheets provide a series. You can do the exercises online or download the worksheet as pdf. Also indicate the type of reaction. Organic add to my workbooks (1) download file pdf embed in my website or blog add to google classroom add to microsoft teams share through whatsapp link to this. It explains the topics using words, diagrams and gifs. Web worksheet introducing or recapping the different types of organic reaction, addition, substitution, elimination, polymerisation, oxidation, reduction and hydrolysis. Any catalysts/reaction conditions for the reaction. The content is suitable for a grade 12 chemistry course. Ch 3 ch 2 br 1. Bromine and ethene react to form an alkyl halide. Choose an answer and hit 'next. Any catalysts/reaction conditions for the reaction. Web what is an organic reactions worksheet? It explains the topics using words, diagrams and gifs. Organic add to my workbooks (1) download file pdf embed in my website or blog add to google classroom add to microsoft teams share through whatsapp link to this worksheet: Bromine and ethene react to form an alkyl halide. Web worksheet introducing or recapping the different types of organic reaction, addition, substitution, elimination, polymerisation, oxidation, reduction and hydrolysis. Web organic. 2 ch 3 li + cui thf (ch 3 ) 2 culi; You can do the exercises online or download the worksheet as pdf. Department of chemistry for m.sc in chemistry. Ch 3 ch 3 + cl 2 δ or hv. Chloromethane is produced by reacting methane and chlorine. Choose an answer and hit 'next. Web in context worksheets ask learners to apply their knowledge of organic chemistry topics to interesting contexts from everyday life, helping them develop their skills in applying knowledge. Knowledge check worksheets provide a series. Web organic reactions worksheets and online activities. Web in this series of videos we identify/link the structure of organic molecules. Web organic reactions, extra exercises 2. You can do the exercises online or download the. Choose an answer and hit 'next. Recognise and use significant figures as appropriate. The series follows a logical path from addition of unsaturated molecules, elimination (including cracking) from saturated molecules and also substitution reactions (including esterification). Be complete in your answers. Web reactions of organometallic compounds. You can do the exercises online or download the worksheet as pdf. Web what is an organic reactions worksheet? The worksheets include calculation questions to practice mathematical skills within a genuine chemical context. The series follows a logical path from addition of unsaturated molecules, elimination (including cracking) from saturated molecules and also substitution reactions (including esterification). 1) o hcl ch3oh 2) hcl ch3 3) hcl 4) hcl 5) hbr 6) hcl 7) ch3 h3o + 8) h3o + 9) h3o + 10) hg(oac)2, h2o nabh4 ch3 11) hg(oac)2, h2o nabh4 Ch 3 ch 3 + cl 2 δ or hv. You can do the exercises online or download the worksheet as pdf. The process of joining many small molecules into larger molecules is called neutralization (2) polymerization (3) saponification (4) substitution 3. 2 ch 3 li + cui thf (ch 3 ) 2 culi; Department of chemistry for m.sc in chemistry. Good set of worksheets covering the beginning of organic chemistry for year 12. The worksheet will explain the compounds that are reacting, and the products that form. You can do the exercises online or download the. Web organic reactions worksheets and online activities. Web in this series of videos we identify/link the structure of organic molecules to their ability to react to make new molecules. —l heat 2hcl c— hbr 20 cl c— cl —c— br _ nc—h oh _hc ch2— ch2 k'2c½o, ch ch ch conc. Ethanol, present in gasohol, burns in an automobile engine. It explains the topics using words, diagrams and gifs. Choose an answer and hit 'next. The content is suitable for a grade 12 chemistry course. Ch 3 ch 3 + br 2 δ or hv Web organic reactions online worksheet for matriculation. Web chemical reactions can result in a change in temperature. It includes oxidation reactions, reduction reactions, condensation reactions, hydrolysis reactions and alcohol reactions. Be complete in your answers. —l heat 2hcl c— hbr 20 cl c— cl —c— br _ nc—h oh _hc ch2— ch2 k'2c½o, ch ch ch conc. 2 ch 3 ch 2 mgcl + cdcl 2. The reaction between benzene and 2 moles of chlorine gas. It explains the topics using words, diagrams and gifs. Choose an answer and hit 'next. 1) o hcl ch3oh 2) hcl ch3 3) hcl 4) hcl 5) hbr 6) hcl 7) ch3 h3o + 8) h3o + 9) h3o + 10) hg(oac)2, h2o nabh4 ch3 11) hg(oac)2, h2o nabh4 Any catalysts/reaction conditions for the reaction. C— ch— types of organic reactions — worksheet #8 identify the type of organic reaction represented by each of the following equations: Ch 3 ch 2 br 1. The content is suitable for a grade 12 chemistry course. Web worksheet introducing or recapping the different types of organic reaction, addition, substitution, elimination, polymerisation, oxidation, reduction and hydrolysis. Provide iupac names for the following structures draw the structures of the following compounds: You can do the exercises online or download the. Also indicate the type of reaction.Organic reactions worksheet
Organic Reactions Worksheet
12 U Organic Chemistry Worksheet 4 Organic Functional Group
ORGANIC CHEMISTRY I PRACTICE EXERCISE Alkene reactions
Organic Reactions Worksheet 6 Worksheet
Ejercicio de Organic reactions worksheet 5
Organic reactions interactive worksheet
Organic reactions worksheet 6 worksheet
Organic reactions worksheet 4 worksheet
Organic Reactions Worksheet Answers PDF Chlorine Alcohol
Ethanol, Present In Gasohol, Burns In An Automobile Engine.
Web Organic Reactions, Extra Exercises 2.
Web In This Series Of Videos We Identify/Link The Structure Of Organic Molecules To Their Ability To React To Make New Molecules.
Chloromethane Is Produced By Reacting Methane And Chlorine.
Related Post:









