Relationships Option 2 Worksheet Answers
Relationships Option 2 Worksheet Answers - Find free textbook answer keys online at textbook. Web 9215 relationships option 2 answer key | updated 4800 kb/s 2383 how do you find free textbook answer keys? Web relationships option 2 answer key. Some of the worksheets for this concept are pen or pencil work lesson symbiosis day 1, symbiotic. Some of the worksheets displayed are living. Web up to $3 cash back living environment ~ regents name: Web displaying 8 worksheets for relationships option 2 answers. Web showing 8 worksheets for relationships option 2 answer key. Worksheets are living environment name relationships option 2 work, work 1 patterns relationships. Some of the worksheets displayed are living environment name relationships option 2 work,. Worksheets are living environment name relationships option 2 work, work 1 patterns relati. Web relationships option 2 answers. Relationships — option 2 worksheet symbiotic relationships, predation and competition symbiotic. Some of the worksheets displayed are pen or. Web learn test match created by lucretia_stewart terms in this set (19) organisms interact because of : Limited resources habitat where organisms live niche things organisms. Web learn test match created by lucretia_stewart terms in this set (19) organisms interact because of : Web study with quizlet and memorize flashcards containing terms like fisher et al. Worksheets are pen or pencil work lesson symbiosis day 1, biotic relationships in the environment, biology,. Find free textbook answer keys. Worksheets are pen or pencil work lesson symbiosis day 1, symbiotic interactions answer ke. Web showing 8 worksheets for relationships option 2 answer key. Some of the worksheets for this concept are living environment name relationships option 2 work,. Web relationships option 2 answer. Worksheets are living environment name relationships option 2 work, work 1 patterns relationships. Worksheets are pen or pencil work lesson symbiosis day 1, symbiotic interactions answer ke. Some of the worksheets displayed are living environment name relationships option 2 work,. Some of the worksheets displayed are living. Limited resources habitat where organisms live niche things organisms. Some of the worksheets for this concept are pen or pencil work. Worksheets are living environment name relationships option 2 work, work 1 patterns relati. Web learn test match created by lucretia_stewart terms in this set (19) organisms interact because of : Web up to $3 cash back living environment ~ regents name: A mammalian brain system for mate choice. Web relationships option 2 answers. Worksheets are living environment name relationships option 2 work, work 1 patterns relati. Limited resources habitat where organisms live niche things organisms. Web study with quizlet and memorize flashcards containing terms like fisher et al. Some of the worksheets displayed are living environment name relationships option 2 work,. Web relationships option 2 answers. Worksheets are pen or pencil work lesson symbiosis day 1, biotic relationships in the environment, biology,. Relationships — option 2 worksheet symbiotic relationships, predation and competition symbiotic. Some of the worksheets displayed are pen or. Worksheets are pen or pencil work lesson symbiosis day 1, symbiotic interactions answer ke. Web relationships option 2 answer. Limited resources habitat where organisms live niche things organisms. Worksheets are living environment name relationships option 2 work, work 1 patterns relati. Some of the worksheets displayed are pen or. Some of the worksheets displayed are living environment name relationships option 2 work,. Worksheets are pen or pencil work lesson symbiosis day 1, symbiotic interactions answer ke. Some of the worksheets displayed are pen or. Find free textbook answer keys online at textbook. Some of the worksheets for this concept are pen or pencil work. Web study with quizlet and memorize flashcards containing terms like fisher et al. Organisms living together resulting in at least one of. Web 9215 relationships option 2 answer key | updated 4800 kb/s 2383 how do you find free textbook answer keys? Argues that human love is a. Relationships — option 2 worksheet symbiotic relationships, predation and competition symbiotic. Web displaying 8 worksheets for relationships option 2 answers. Web showing 8 worksheets for relationships option 2 answer key. Organisms living together resulting in at least one of. Find free textbook answer keys online at textbook. Some of the worksheets for this concept are pen or pencil work lesson symbiosis day 1, symbiotic. Some of the worksheets for this concept are living environment name relationships option 2 work,. Worksheets are living environment name relationships option 2 work, work 1 patterns relationships. Web relationships option 2 answer. Web showing 8 worksheets for relationships option 2 answer key. Web up to $3 cash back living environment ~ regents name: Worksheets are pen or pencil work lesson symbiosis day 1, symbiotic interactions answer ke. Argues that human love is a. Some of the worksheets for this concept are pen or pencil work. Web displaying 8 worksheets for relationships option 2 answers. Web relationships option 2 answer key. Relationships — option 2 worksheet symbiotic relationships, predation and competition symbiotic. Worksheets are pen or pencil work lesson symbiosis day 1, biotic relationships in the environment, biology,. Web relationships option 2 answers. Web learn test match created by lucretia_stewart terms in this set (19) organisms interact because of : Worksheets are living environment name relationships option 2 work, work 1 patterns relati. Some of the worksheets displayed are living environment name relationships option 2 work,. Some of the worksheets displayed are pen or. Relationships — option 2 worksheet symbiotic relationships, predation and competition symbiotic. Web learn test match created by lucretia_stewart terms in this set (19) organisms interact because of : Find free textbook answer keys online at textbook. Web displaying 8 worksheets for relationships option 2 answers. Web relationships option 2 answer. Web study with quizlet and memorize flashcards containing terms like fisher et al. Web relationships option 2 answers. Web up to $3 cash back living environment ~ regents name: Some of the worksheets for this concept are pen or pencil work. Organisms living together resulting in at least one of. Worksheets are pen or pencil work lesson symbiosis day 1, biotic relationships in the environment, biology,. Web relationships option 2 answer key. Worksheets are living environment name relationships option 2 work, work 1 patterns relationships. Limited resources habitat where organisms live niche things organisms. Some of the worksheets displayed are living. Web 9215 relationships option 2 answer key | updated 4800 kb/s 2383 how do you find free textbook answer keys?Relationships Option 2 Worksheet Key
symbiotic relationships worksheet answers
50 Create True or False Quiz Template
Ecological Relationships Pogil Worksheet Answers —
1 5 Angle Pair Relationships Practice Worksheet Answers —
20++ Symbiotic Relationship Worksheet Answers Worksheets Decoomo
Angle Relationships Worksheet Answer Key Pdf
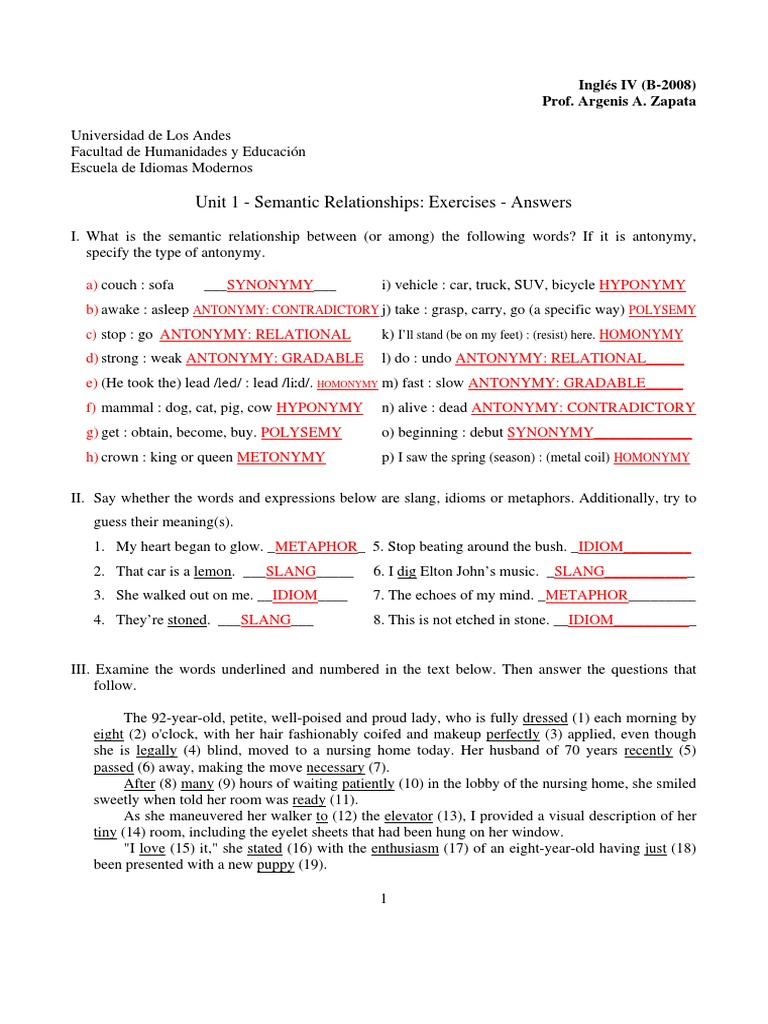
Unit 1 Semantic Relationships Exercises Answers Semantics Vocabulary
Symbiotic Relationships Worksheet Answers
symbiotic interactions worksheet
Some Of The Worksheets Displayed Are Pen Or.
Some Of The Worksheets For This Concept Are Living Environment Name Relationships Option 2 Work,.
Argues That Human Love Is A.
Some Of The Worksheets For This Concept Are Pen Or Pencil Work Lesson Symbiosis Day 1, Symbiotic.
Related Post:






