Molar Concentration Worksheets
Molar Concentration Worksheets - The density of the solution is 1.203 g/ml. We also use several other units,. Calculate molarity by dissolving 25.0g naoh in 325 ml of solution. Boost your grades with free daily practice questions. To make a 4.00 m solution, how many moles of solute will be needed if 12.0 liters of solution are required? Web molar concentration online worksheet for grade 10. Web molarity = _____ problems: Calculate molarity by dissolving 25.0g naoh in 325 ml of solution. The units of concentration are often written as m. Web calculate molarity if 25.0 ml of 1.75 m hcl diluted to 65.0 ml. Web molarity = _____ problems: 0.0700 moles of nh 4 cl in 50.0 l of. Concentrations and volumes can be in any units, as long. To make a 4.00 m solution, how many moles of solute will be needed if 12.0 liters of solution are required? Calculate grams of solute needed to. Web molarity = _____ problems: Web calculate molarity if 25.0 ml of 1.75 m hcl diluted to 65.0 ml. 2.8 moles of hno 3 in 4.0 l of solution; What is the molar concentration of a 3.296 m aqueous solution of fructose? Calculate grams of solute needed to. Calculation of kc and kp. Web calculate the molarity of each of the following solutions: 0.0700 moles of nh 4 cl in 50.0 l of. Web chem 101 worksheet 7 dr. (molar mass fructose = 180.16. Caddell key worksheet 7 units of concentration molarity (m ): Calculate grams of solute needed to. To make a 4.00 m solution, how many moles of solute will be needed if 12.0 liters of solution are required? (a) 0.195 g of cholesterol, c 27 h 46 o, in 0.100 l of serum, the average concentration of cholesterol in. Web molarity. Web molar concentration online worksheet for grade 10. Web molarity = _____ problems: You can do the exercises online or download the worksheet as pdf. The units of concentration are often written as m. Use the equation above to work out the units of concentration in terms of mol and l. (molar mass fructose = 180.16. Web chem 101 worksheet 7 dr. To make a 4.00 m solution, how many moles of solute will be needed if 12.0 liters of solution are. Calculate molarity by dissolving 25.0g naoh in 325 ml of solution. Web molar concentration online worksheet for grade 10. Web molarity (section 12.3) the term we learned earlier, refers to the concentration of a solution expressed in moles of solute per liter of solution. (molar mass fructose = 180.16. A unit of concentration equal to the number moles of solute in a 1l of solution. Molarity = /0123 301452 165273 08 30145609 2. Use the equation above to work. Web molarity represents the number of moles of a solute in the total volume of a solution in liters. Such mixture is called a solution. 2.8 moles of hno 3 in 4.0 l of solution; To make a 4.00 m solution, how many moles of solute will be needed if 12.0 liters of solution are required? The units of concentration. Such mixture is called a solution. We also use several other units,. Concentrations and volumes can be in any units, as long as bothconcentrations are in the. Web molarity (section 12.3) the term we learned earlier, refers to the concentration of a solution expressed in moles of solute per liter of solution. Web calculate molarity if 25.0 ml of 1.75. Molarity = /0123 301452 165273 08 30145609 2. Moles of solute = 48.0 mol. Such mixture is called a solution. Calculate molarity by dissolving 25.0g naoh in 325 ml of solution. Use the equation above to work out the units of concentration in terms of mol and l. Use the equation above to work out the units of concentration in terms of mol and l. Web molar concentration online worksheet for grade 10. The sugar is the solute and water is the. What is the concentration of the. Concentrations and volumes can be in any units, as long as bothconcentrations are in the. 0.0700 moles of nh 4 cl in 50.0 l of. Caddell key worksheet 7 units of concentration molarity (m ): Calculate molarity by dissolving 25.0g naoh in 325 ml of solution. To make a 4.00 m solution, how many moles of solute will be needed if 12.0 liters of solution are required? Of any pure substance has a mass in grams exactly equal to that substance’s. Web molarity represents the number of moles of a solute in the total volume of a solution in liters. You can do the exercises online or download the worksheet as pdf. Calculate molarity by dissolving 25.0g naoh in 325 ml of solution. Show all work and circle your final answer. To make a 4.00 m solution, how many moles of solute will be needed if 12.0 liters of solution are. Calculate the molar concentration of the following solutions: Such mixture is called a solution. Web molarity = _____ problems: Web calculate the molarity of each of the following solutions: Calculation of kc and kp. Boost your grades with free daily practice questions. Web molar concentration online worksheet for grade 10. What is the molar concentration of a 3.296 m aqueous solution of fructose? Show all work and circle your final answer. Molarity = /0123 301452 165273 08 30145609 2. Web chem 101 worksheet 7 dr. Concentrations and volumes can be in any units, as long as bothconcentrations are in the. To make a 4.00 m solution, how many moles of solute will be needed if 12.0 liters of solution are required? Calculate the molar concentration of the following solutions: The density of the solution is 1.203 g/ml. To make a 4.00 m solution, how many moles of solute will be needed if 12.0 liters of solution are. Web molarity = _____ problems: We also use several other units,. 0.0700 moles of nh 4 cl in 50.0 l of. Web molarity represents the number of moles of a solute in the total volume of a solution in liters. Caddell key worksheet 7 units of concentration molarity (m ):7 Molarity Worksheet With Answers /
Molarity Practice Worksheet Answer
Molarity Practice Worksheet Answer
30 Molar Mass Worksheet Answer support worksheet
Day 08 Molar Concentration Worksheet
️Molarity Practice Worksheet Free Download Goodimg.co
7 Molarity Worksheet With Answers /
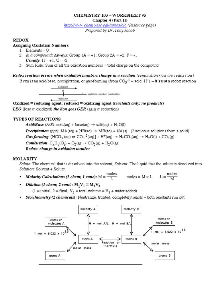
Worksheet 5 103 Molar Concentration Redox
Molarity Worksheet Answer Key
Unit 9 Worksheet 3 Molar Concentration
Calculate Molarity By Dissolving 25.0G Naoh In 325 Ml Of Solution.
You Can Do The Exercises Online Or Download The Worksheet As Pdf.
Calculation Of Kc And Kp.
Calculate Molarity By Dissolving 25.0G Naoh In 325 Ml Of Solution.
Related Post:








