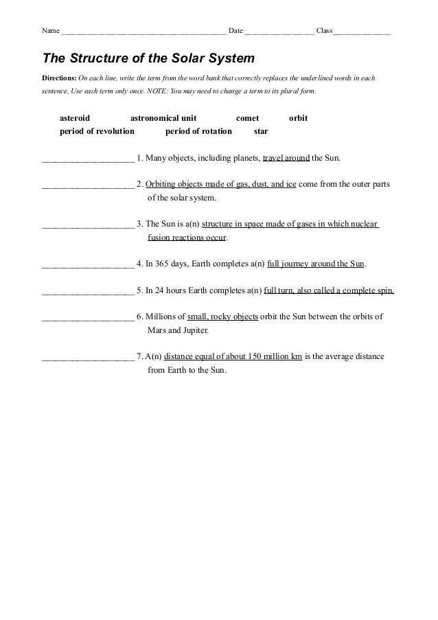
The Solar System Worksheet Answer Key
The Solar System Worksheet Answer Key - It's time to learn about the planets, the phases of the moon and space travel. 18 the size of earth. Which statement about the inner planets’ orbits is true? The closest planet to the sun: Ptolemy thought the planets moved on little circles that moved on bigger circles. Naming and understanding the phases of the moon. Budding scientists explore outer space while gaining practice naming all the planets in the solar system with this stellar worksheet. Next to the sun, jupiter is the second most massive object. It is the fastest spinning planet in the solar system. The time it takes an object to rotate once is its ___________________. This unit features worksheets and other resources for teaching about the solar system. Web the solar system worksheets and online activities. Jupiter has a total of 79 known moons. The sun is a gigantic star that is made up of hot gases called plasma. Cut out the definitions and glue them next to the corresponding solar system object. Farthest planet of the solar system. 18 the size of earth. The core of the sun, solar flare, astronomical unit, photosphere, corona etc. 18 the size of mercury. The farther a planet is from the sun, the shorter its period of revolution., list the planet or planets whose orbital planes lie more than 3 degrees from the plane of the. It's time to learn about the planets, the phases of the moon and space travel. There are nine planets that travel around the sun. The solar system the sun worksheet broadly covers following points. Use this worksheet to practice identifying the planets based on their location from the sun and their visible characteristics. The planets are in motion and travel. There are nine planets that travel around the sun. Mercury, venus, mars, jupiter, and saturn 2. Web mercury is 18 times the size of earth. Web the planets in the outer solar system are called gas giants because they are made up of gas and ice. Kids will enjoy learning about and labeling the planets in their respective orbits with. Use this worksheet to practice identifying the planets based on their location from the sun and their visible characteristics. Cut out the definitions and glue them next to the corresponding solar system object. Signnow has paid close attention to ios users and developed an application just for them. Kids will enjoy learning about and labeling the planets in their respective. Web the answer key is attached with the worksheet. Budding scientists explore outer space while gaining practice naming all the planets in the solar system with this stellar worksheet. You can download our free printable worksheet with the answer. Looking at the orbits of the earth and moon. Jupiter has a total of 79 known moons. The sun is at one of the ______ of the ellipse, so the distance between a planet and the sun changes as the planet moves. There are crosswords, word searches, card games and more. Ptolemy thought the planets moved on little circles that moved on bigger circles. Venus orbits the sun more quickly than mercury. Earth is 18 times smaller. It's time to learn about the planets, the phases of the moon and space travel. Looking at the orbits of the earth and moon. The time it takes an object to rotate once is its ___________________. Compare the characteristics and movement patterns of the planets in our solar system. The closest planet to the sun: Web click the buttons to print each worksheet and associated answer key. Web it is the !fth planet from the sun and called the gas giant planet. Web the answer key is attached with the worksheet. No standards associated with this content. Together with the sun, these planets make up our solar system. Use this worksheet to practice identifying the planets based on their location from the sun and their visible characteristics. Which statement about the inner planets’ orbits is true? The farther a planet is from the sun, the shorter its period of revolution., list the planet or planets whose orbital planes lie more than 3 degrees from the plane of the. Farthest planet of the solar system. You can download our free printable worksheet with the answer. Kids will enjoy learning about and labeling the planets in their respective orbits with the support of colorful graphics and helpful hints. Cut out the definitions and glue them next to the corresponding solar system object. Web solar system worksheets and activities. Web birth of the earth video worksheet answersone or ipad, easily create electronic signatures for signing a birth of the solar system video worksheet answer key in pdf format. Mercury, venus, mars, jupiter, and saturn 2. Web mercury is 18 times the size of earth. Web the planets in the outer solar system are called gas giants because they are made up of gas and ice. The core of the sun, solar flare, astronomical unit, photosphere, corona etc. Looking at the orbits of the earth and moon. Next to the sun, jupiter is the second most massive object. The sun is at one of the ______ of the ellipse, so the distance between a planet and the sun changes as the planet moves. Use this worksheet to practice identifying the planets based on their location from the sun and their visible characteristics. As the moon orbits around the earth, we see a different side of the moon. The planet known as morning star or the evening star: This unit features worksheets and other resources for teaching about the solar system. Web study with quizlet and memorize flashcards containing terms like almost all of the mass of the solar system is, is the following sentence true or false? Budding scientists explore outer space while gaining practice naming all the planets in the solar system with this stellar worksheet. The farther a planet is from the sun, the shorter its period of revolution., list the planet or planets whose orbital planes lie more than 3 degrees from the plane of the sun's equator and more. Each student will need his or her own copy. The core of the sun, solar flare, astronomical unit, photosphere, corona etc. Web it is the !fth planet from the sun and called the gas giant planet. Make space for these worksheets. It is a star and it produces its own light. The first stop on our tour of the outer solar system is the fifth planet, jupiter. There are crosswords, word searches, card games and more. Web planets in our solar system. Answer key included.you can take out the print of this worksheets on standard a4 size (8.5x11.7 inch) with very good quality of resolution.it includes total 13 worksheets. 8th grade science worksheets and answer key, study guides. 18 the size of earth. Use this worksheet to practice identifying the planets based on their location from the sun and their visible characteristics. The time it takes an object to rotate once is its ___________________. Budding scientists explore outer space while gaining practice naming all the planets in the solar system with this stellar worksheet. This unit features worksheets and other resources for teaching about the solar system. Identifying the characteristics of the sun and other stars.Kindergarten Solar System Worksheets
50 solar System Worksheet Pdf Chessmuseum Template Library
Image de Systeme solaire Solar System Data Worksheet Answer Key
Live Worksheets Answer Key Science Islero Guide Answer for Assignment
Solar System Quiz Printable Downloadable Worksheet for Kids
ASTRONOMY STUDY GUIDE ANSWER KEY PART A THE SOLAR SYSTEM
Solar System free activity
Free Solar System Worksheets for Kids Adanna Dill Solar system
The Solar System The Sun Worksheet Answer Key 20202022 Fill and Sign
The Solar System Interactive worksheet
Center Of The Solar System:
Naming And Understanding The Phases Of The Moon.
As The Moon Orbits Around The Earth, We See A Different Side Of The Moon.
Web The Planets In The Outer Solar System Are Called Gas Giants Because They Are Made Up Of Gas And Ice.
Related Post:










